1
/
of
3
HCL-RS 7.6V (2S) 6400mAh 120C LiHV 5mm Inboard Hardcase
HCL-RS 7.6V (2S) 6400mAh 120C LiHV 5mm Inboard Hardcase
SKU:64120-2S1P
Regular price
$59.99 USD
Regular price
Sale price
$59.99 USD
Shipping calculated at checkout.
7 in stock
Quantity
Couldn't load pickup availability

All the fine details
HCL-RS 7.6V-6400mAh-120C LiHV 5mm Inboard Hardcase. Will be submitted to ROAR for approval
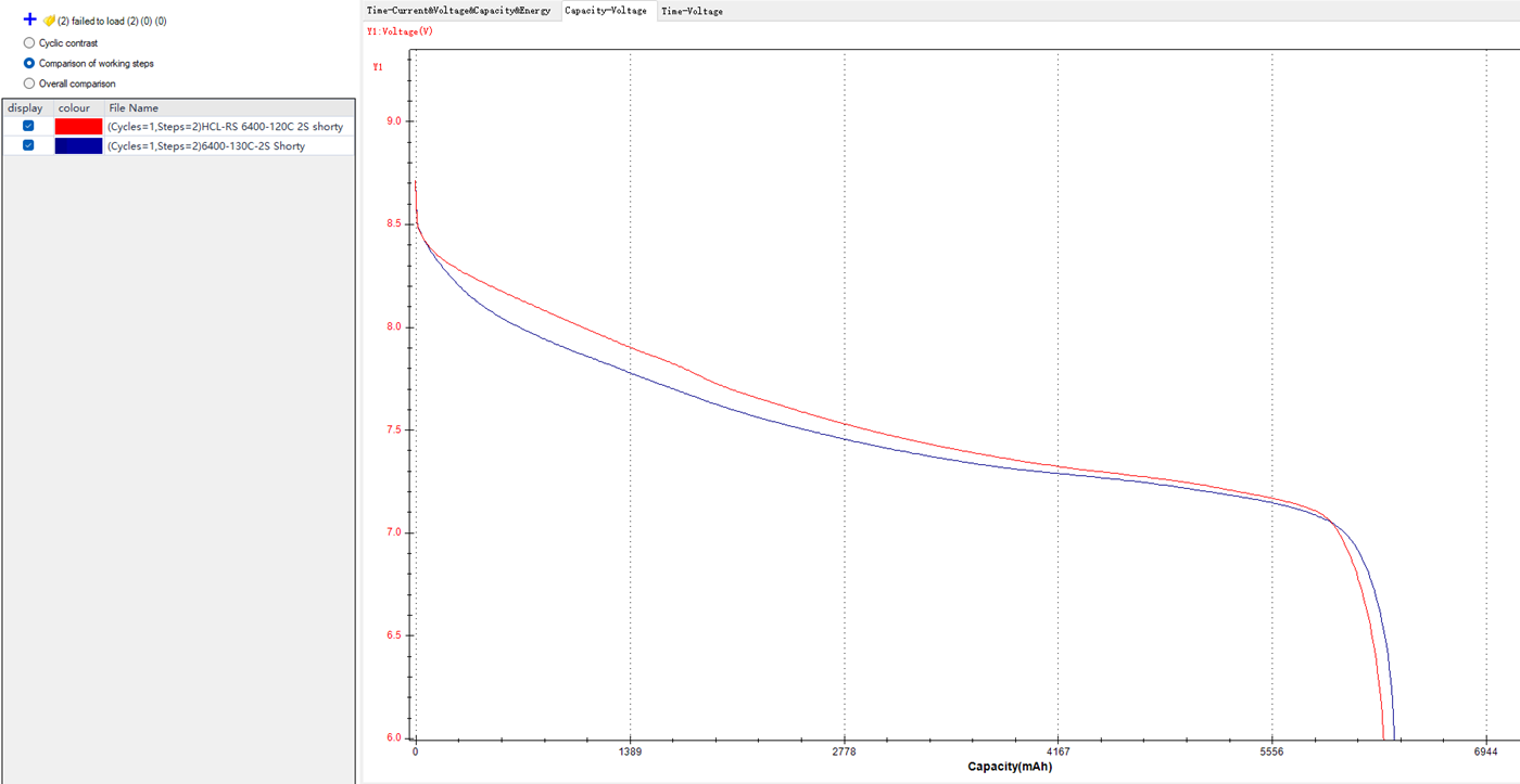
Introducing the HCL-RS line of race packs (High Cycle Life - Race Series). These formulations are not the generic cells/packs you can get with different color stickers on them. These are recipes developed for us by an independent factory. While we have recently pushed mAh and C rates for applications like flight packs and speed run packs, the demands of racing are different. These new formulations hold better voltage, sag less under loads seen in off and on road racing by optimizing the IR and mAh per cubic centimeter of the cells. Scroll down the page to see a discharge graph.
True mAh +/- 5%: 6400mAh
Voltage: 7.6V
C rate: 120C
Power Factor: TDB For more information click here
Size: 25mm x 47mm x 96mm Hardcase
Weight: 229gr
Wire size: 5mm inboard tubes with 2mm balance tube
Charge rate: 1C to 5C please note that a higher charge rate will put less mAh into the pack and will reduce cycle life
The graph below shows our 6400-120C-2S shorty at a 35 amp discharge versus a 6400-130C-2S shorty sold under different brands/label. As you can see you get better voltage under load througout the discharge curve.